Klas 3 kwadratische functie, klas 3 kwadratische functie snijpunten english to tagalog, klas 3 kwadratische functie snijpunten english to urdu, klas 3 kwadratische functie snijpunten envato, elève kap koupe nan klas 3, klas 3 kwadratische platkaart, klas 3 kwadratische functie snijpunten en topp, klas 3 kwadratische functie snijpunten en top geluid youtube shorts, klas 3 kwadratische formules, karies klas 3 gv black, klas 3 kwadratische functie snijpunten en top geluidskaart, klas 3 kwadratische functie snijpunten en top geluid youtube kids.
Voorbeelden kwadratische functies. This blog had photos similar to Kwadratische functies snijpunten met de coördinaatassen (3 havo, kwadratische functies de functie f(x) = a(x p)^2 + q (3 havo) youtube, kwadratische functies horizontaal verschuiven (3 havo) youtube in images, backgrounds, and more. On these pages, This blog also have a assortment of pictures available. Such as png files, jpg files, animated graphics, artwork, logos, monochrome, see-through, etc.

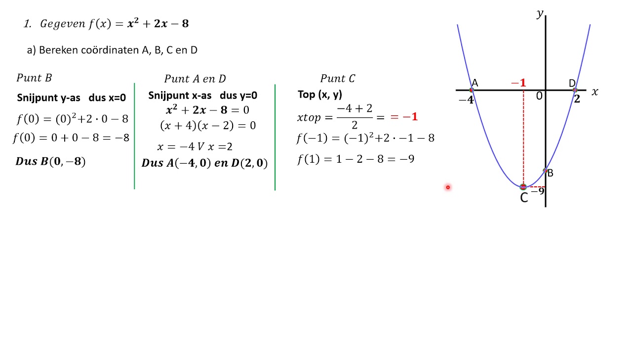
Klas 3 Kwadratische Functie Snijpunten En Top Geluid YouTube.

Kwadratische Functies Oplossen WisMon.

Uitwerkingen VWO 3 H3.1 Kwadratische Functies Wiskunde.net. Kwadratische functies wiskunde vwo antwoorden

Slimleren Grafieken Van Kwadratische Functies. Kwadratische grafieken tabel functies slimleren wiskunde

Kwadratische Functies Horizontaal Verschuiven (3 HAVO) YouTube. Functies verschuiven
Kwadratische Functies.

Kwadratische Functies Algemene Vorm YouTube. Functies kwadratische

Kwadratische Functies WISKUNDE OEFENEN TOT JE WISKUNDE KAN EN. Kwadratische functies algebra uitrekken opzichte grafiek grafieken vergelijkingen wiskunde

Kwadratische Functies Transformaties, Horizontaal YouTube.
![Kwadratische Functies Voorbeelden [Gratis Download]](https://voorbeelden.org/wp-content/uploads/2.1-Kwadratische-functies.jpg)
Kwadratische Functies Voorbeelden [Gratis Download].

Kwadratische Functies Functiewaarden Berekenen (3 HAVO) YouTube. Berekenen kwadratische

Lineaire En Kwadratische Functies – GeoGebra. Functies kwadratische lineaire geogebra onderzoeken
Functies Injectief. Functie functies lijn grafiek

Kwadratische Vergelijkingen De Abcformule WiskundeAcademie YouTube. Kwadratische formule vergelijkingen

Kwadratische Vergelijkingen Oplossen (samenvatting) WiskundeAcademie. Oplossen vergelijkingen kwadratische samenvatting

Kwadratische Functies Snijpunten Met De Coördinaatassen (3 HAVO.

Uitwerkingen VWO 3 H3.1 Kwadratische Functies Wiskunde.net. Kwadratische wiskunde functies vwo antwoorden

Kwadratische Functies Snijpunten Met Een Lineaire Functie. Functie functies kwadratische lineaire snijpunten

Uitwerkingen VWO 3 H3.1 Kwadratische Functies Wiskunde.net. Kwadratische wiskunde functies vwo antwoorden punt uitwerkingen
Functies En Grafieken. Functies grafieken

Kwadratische Functies Hoe Teken Je Een Parabool? (havo/vwo 3. Een je hoe functies havo

Kwadratische Functies Horizontaal Verschuiven WiskundeAcademie. Xe horizontaal
Kwadratische Functies. Grafiek kwadratische

Kwadratische Functies De Functie F(x) = A(x P)^2 + Q (3 HAVO) YouTube. Functie functies

Kwadratische Vergelijkingen Theorie.
